Entemplate Scope Of Work – Let’s look closer at each of these elements below. Standard scope of work document usually include the following: Download free template whenever you’re collaborating with people outside your organization, it’s all too easy for miscommunication or presumptions to send a project off course. Free scope of work templates for microsoft word try smartsheet for free by diana ramos | june 30, 2022 we’ve compiled a comprehensive collection of free scope of work templates for project managers, clients, vendors, designers, and those in the construction industry.
With the right resources at hand, creating a scope of work document can be a fairly simple process! A scope of work is a project management document that’s used to describe what a. How workamajig can help you manage your scope of work. We've prepared a free template to help you write your own scope of work.
Entemplate Scope Of Work
Entemplate Scope Of Work
Access this detailed and customizable scope of work template by clickup to use alongside the team at anytime. How to write a scope of work in construction What is a scope of work document?
A scope of work template is a document that helps you clarify the terms and conditions on the project delivery, no matter what industry you are operating in. Try smartsheet for free, today. A scope of work is often issued by a client, consultant or contractor as part of the tendering process as a ‘proposal’ of sorts, which companies can then use to decide whether or not to engage in the project.
It acts as a written agreement and is one of the most important and detailed documents in the early stages of any project. A scope of work is a contractual document that businesses compose to outline each aspect of a project and how it will be completed. Clickup scope of work template.
Scope of work documents are easier to write out if you follow a template. Dependencies final words protecting resources and avoiding scope creep is among the most important missions of a product manager, and there are myriad tools and. The sow provides details like organizational charts for the people assigned to that project, a list of equipment and tools, and.

UI/UX Design of SAS based Supply Chain PlatformScopeworker

Simple scope of work example you can use or copy for free

Project Scope Example Baseline, Scope Statement, Templates

Scope of Work Template Project Performance and Services

Scope of work template in Word and Pdf formats
![]()
Scope MHT Wheels Inc.

模板 EnTemplate 架站王酷站 Blog架站王酷站 Blog

SOLUTION Project Scope Of Work Studypool

KnowHow Transfer Company Limited

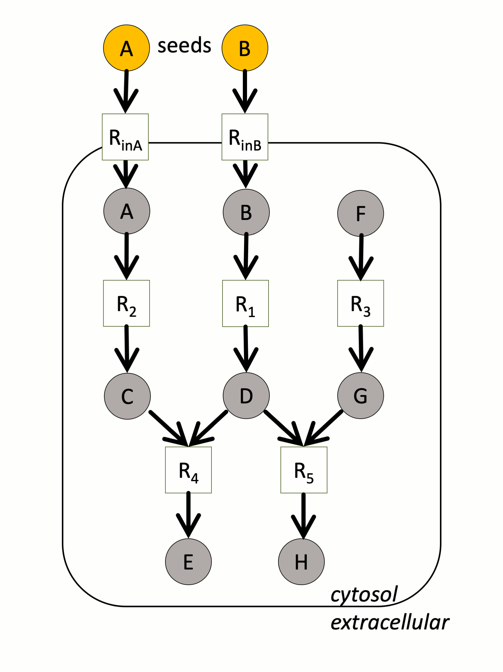
Supplementary information — metage2metabo documentation

Inspection Scope Examination Life Cycle Services SEW‑EURODRIVE
![]()
Scope of Work (Sample).pdf DocDroid

40 Readytouse Scope of Work Templates & Examples

Scope Of Work Agreement Template
